近日,中国热科院南亚所植物营养研究室在热带典型有机物料碳转化效率研究中取得重要进展。
热带地区高温多雨导致土壤有机碳矿化迅速,但关于砖红壤有机碳转化效率(esoc)的研究数据相对缺乏。热科院南亚所植物营养研究室成员以热带砖红壤为对象,采用尼龙袋法探究菠萝叶(pal)、香蕉茎(bas)、椰壳(cch)和有机肥(of)四种典型热带有机材料的碳转化效率(esoc)及影响机制。
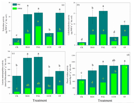
结果显示,cch 的 esoc 最高(37.79%–96.87%),其次为 of(26.71%–63.12%),而pal 和 bas 的 esoc 在 1080 天时分别降至 7.59% 和 2.55%。有机材料本身的组成(半纤维素、纤维素、木质素等)是决定 esoc 差异的关键因素。短期内(90 天),pal 和 bas 显著增加了土壤微生物多样性及木糖苷酶、纤维二糖水解酶活性,其有机碳产物以不稳定结构的 o–烷基–c 等为主;长期中(1080 天),cch 则通过增强酚氧化酶活性维持微生物生物量稳定性,其有机碳产物结构更为复杂稳定。

图1 有机物料混土培养90天和1080天土壤酶活性变化
该研究证实,有机材料的组成是决定其在砖红壤中碳转化效率的核心因素。短期应用 pal 和 bas 可快速提升微生物活性,而长期应用 cch 则能通过稳定结构和酶活性维持土壤碳库。混合不同材料可优化砖红壤有机碳管理策略,该研究也为热带农业秸秆的科学利用提供了理论依据。
相关研究成果以“the quality of organic materials determines its carbon conversion efficiency in tropical latosol”为题发表于期刊《frontiers in microbiology》。该论文第一完成单位为中国热带农业科学院南亚热带作物研究所海南省热带作物营养重点实验室,宋书会博士为论文第一作者,石伟琦研究员和马海洋副研究员为论文共同通讯作者。
该研究得到广东省重点研发计划(2023b0202010027)、广东省基础与应用基础研究基金(2025a1515010862)等项目资助。
原文链接:
近日,中国热科院南亚所植物营养研究室在热带典型有机物料碳转化效率研究中取得重要进展。
热带地区高温多雨导致土壤有机碳矿化迅速,但关于砖红壤有机碳转化效率(esoc)的研究数据相对缺乏。热科院南亚所植物营养研究室成员以热带砖红壤为对象,采用尼龙袋法探究菠萝叶(pal)、香蕉茎(bas)、椰壳(cch)和有机肥(of)四种典型热带有机材料的碳转化效率(esoc)及影响机制。
结果显示,cch 的 esoc 最高(37.79%–96.87%),其次为 of(26.71%–63.12%),而pal 和 bas 的 esoc 在 1080 天时分别降至 7.59% 和 2.55%。有机材料本身的组成(半纤维素、纤维素、木质素等)是决定 esoc 差异的关键因素。短期内(90 天),pal 和 bas 显著增加了土壤微生物多样性及木糖苷酶、纤维二糖水解酶活性,其有机碳产物以不稳定结构的 o–烷基–c 等为主;长期中(1080 天),cch 则通过增强酚氧化酶活性维持微生物生物量稳定性,其有机碳产物结构更为复杂稳定。

图1 有机物料混土培养90天和1080天土壤酶活性变化
该研究证实,有机材料的组成是决定其在砖红壤中碳转化效率的核心因素。短期应用 pal 和 bas 可快速提升微生物活性,而长期应用 cch 则能通过稳定结构和酶活性维持土壤碳库。混合不同材料可优化砖红壤有机碳管理策略,该研究也为热带农业秸秆的科学利用提供了理论依据。
相关研究成果以“the quality of organic materials determines its carbon conversion efficiency in tropical latosol”为题发表于期刊《frontiers in microbiology》。该论文第一完成单位为中国热带农业科学院南亚热带作物研究所海南省热带作物营养重点实验室,宋书会博士为论文第一作者,石伟琦研究员和马海洋副研究员为论文共同通讯作者。
该研究得到广东省重点研发计划(2023b0202010027)、广东省基础与应用基础研究基金(2025a1515010862)等项目资助。
原文链接: